Vancouver, British Columbia – Radius Gold Inc. (TSXV:RDU) reports additional high grade drill results from the California target at the Amalia Project, Mexico. Radius continues to define broad high grade silver gold mineralization along 1km strike at California target. Joint venture partner and project operator, Pan American Silver Corp., is fully funding the program. Highlights from the latest drill results include:
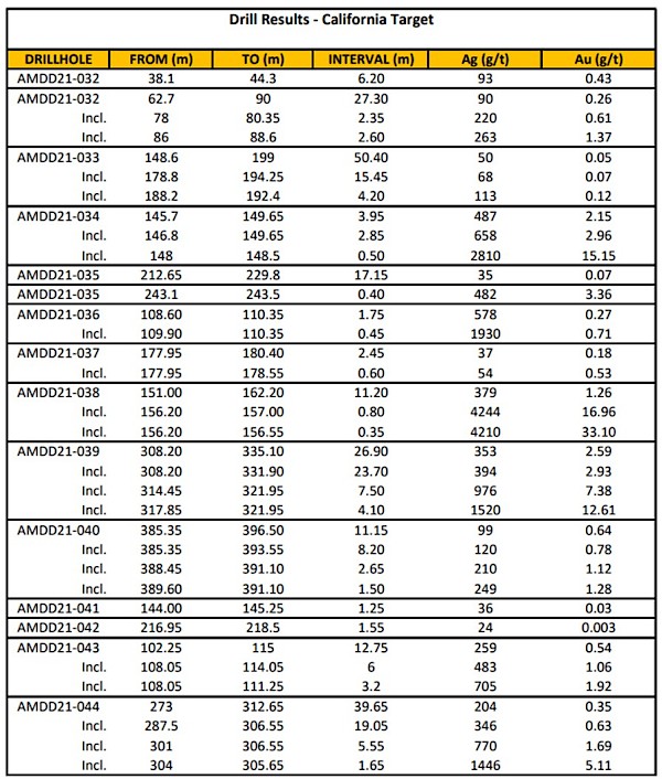
AMDD21-43 12.8m @ 259 g/t Ag and 0.54 g/t Au
Including 3.2m @ 705 g/t Ag and 1.92 g/t Au
AMDD21-44 39.7m @ 204 g/t Ag and 0.35 g/t Au
Including 19.1m @ 346 g/t Ag and 0.63 g/t Au
Including 1.6m @ 1446 g/t Ag and 5.11 g/t Au
Radius has received results from 13 of 14 drill holes at the California target (totalling 3814m), with new results for drillholes AMDD21-042, 043, 044. Every hole in this first round at California has cut the multiphase mineralized structure, defining a large silver gold mineralized system.
California target first round of drilling has intersected multi-phase breccia and stock-work vein systems with significant widths (up to 50m) and high grades up to 4210 g/t Ag and 33.1 g/t Au. Drill platforms are located on 6 sections, spaced 200m apart (figures 1 & 2). The drill program has defined a coherent and robust silver gold mineralized system over 1km and to a depth of 300m. The California structure has been mapped over 2.8km. Mineralization is open in all directions. A full table of results is given below.
California target drill testing was limited to pre-existing roads that allowed easy access. Further on strike, targets such as Oro Viejo, La Caverna, and California NW, are yet to be drill tested. At Oro Viejo 1km NE from the current drilling, high grade gold has been sampled in surface rock chips with assays up to 27 g/t gold.
Drilling is underway at the untested El Cuervo vein breccia target. El Cuervo is a subparallel structure situated between the Amalia and California structures where stockwork veining and brecciation have been mapped up to maximum 40m wide and semi-continuously for 1.5km. Surface rock chip samples at Cuervo range from below detection to 637 g/t Ag and 2.24 g/t Au. Pan American is operating the El Cuervo drill program and expects to complete 3500m of drilling in the first program at the target.
Figure 1. Drill Results – California Target:

Figure 2. Amalia Project – Drilling progress:

Figure 3. California target – drilling and surface Ag geochemistry

Figure 4. California Target - Drill Section: AMDD21-043 to AMDD21-45:

The Agreement
Pursuant to an option agreement signed in June 2018, Pan American Silver Corp. has the option to earn up to an initial 65% interest in the Amalia Project by making cash payments to Radius totalling US$1.5 million (of which US$800,000 has been received) and expending US$2 million on exploration over four years. Pan American may earn an additional 10% by advancing the property to preliminary-feasibility.
Quality Assurance and Quality Control
Drilling is carried out using NQ and HQ size tooling. Drill core is cut in half using a rock saw with one-half of the core then taken as a sample for analysis. Sample intervals are generally 1m intervals, producing samples of between 2 to 9 kg. Half-core samples are delivered to the ALS Geochemistry laboratory facilities in Chihuahua, Mexico. The samples are fire assayed for Au and are analysed for Ag and multi-elements using method code ME-ICP61 following a four-acid digestion. Overlimits are analysed using an appropriate method. Multi-element geochemical standards and blanks are routinely entered into the drill core sample stream to monitor laboratory performance. Quality control samples submitted to ALS were returned within acceptable limits.
Technical Information
Bruce Smith, M.Sc. (Geology), a member of the Australian Institute of Geoscientists, is Radius’s Qualified Person as defined by National Instrument 43-101 - Standards of Disclosure for Mineral Projects. Mr. Smith has reviewed and approved the technical information contained in this news release.
Radius Gold Inc.
Radius has a portfolio of projects located in Mexico, United States and Guatemala which it continues to advance, utilizing partnerships where appropriate in order to retain the Company’s strong treasury. At the same time, management is seeking out additional investment and project acquisition opportunities across the globe.
ON BEHALF OF THE BOARD
Bruce Smith
President and CEO
Symbol: TSXV-RDU
Contact: Bruce Smith
200 Burrard Street, Suite 650
Vancouver, BC V6C 3L6
Tel: 604-801-5432; Toll free 1-888-627-9378; Fax: 604-662-8829
Email: info@goldgroup.com
Website: www.radiusgold.com
Neither the TSX Venture Exchange nor the Investment Industry Regulatory Organization of Canada accepts responsibility for the adequacy or accuracy of this release.
Forward-looking statements
Certain statements contained in this news release constitute forward-looking statements within the meaning of Canadian securities legislation. All statements included herein, other than statements of historical fact, are forward- looking statements and include, without limitation, statements about the results of exploration work and future plans at the Amalia Project. Often, but not always, these forward looking statements can be identified by the use of words such as “estimate”, “estimates”, “estimated”, “potential”, “open”, “future”, “assumed”, “projected”, “used”, “detailed”, “has been”, “gain”, “upgraded”, “offset”, “limited”, “contained”, “reflecting”, “containing”, “remaining”, “to be”, “periodically”, or statements that events, “could” or “should” occur or be achieved and similar expressions, including negative variations.
Forward-looking statements involve known and unknown risks, uncertainties and other factors which may cause the actual results, performance or achievements of the Company to be materially different from any results, performance or achievements expressed or implied by forward-looking statements. Such uncertainties and factors include, among others, whether the planned exploration work at Amalia will proceed as intended; changes in general economic conditions and financial markets; the Company or any joint venture partner not having the financial ability to meet its exploration and development goals; risks associated with the results of exploration and development activities, estimation of mineral resources and the geology, grade and continuity of mineral deposits; unanticipated costs and expenses; and such other risks detailed from time to time in the Company’s quarterly and annual filings with securities regulators and available under the Company’s profile on SEDAR at www.sedar.com. Although the Company has attempted to identify important factors that could cause actual actions, events or results to differ materially from those described in forward-looking statements, there may be other factors that cause actions, events or results to differ from those anticipated, estimated or intended.
Forward-looking statements contained herein are based on the assumptions, beliefs, expectations and opinions of management, including but not limited to: that the exploration work at the Amalia Project will advance as planned; that the Company’s stated goals and the planned exploration and development activities at its properties will be achieved; that there will be no material adverse change affecting the Company or its properties; and such other assumptions as set out herein. Forward-looking statements are made as of the date hereof and the Company disclaims any obligation to update any forward-looking statements, whether as a result of new information, future events or results or otherwise, except as required by law. There can be no assurance that forward-looking statements will prove to be accurate, as actual results and future events could differ materially from those anticipated in such statements. Accordingly, investors should not place undue reliance on forward-looking statements.